NonlinearSolvers plugin - BDQRF, Bisection, Brent's, Broyden's, Newton-Raphson, Ridder's, Secant, Homotopy - Сообщения
Wrotepassword for the Nonlinear Solvers plugin?
http://en.smath.info/forum/yaf_postsm10204_NonlinearSolvers-plugin--root-finding-methods--BETA-optimization-algorithms.aspx#post10204
Martin KraskaPre-configured portable distribution of SMath Studio: https://en.smath.info/wiki/SMath%20with%20Plugins.ashx
2 пользователям понравился этот пост
plugin's password added in the first post.
Best regards,
Davide
Best regards,
Davide
If you like my plugins please consider to support the program buying a license; for personal contributions to me: paypal.me/dcprojects
WroteThank you Martin,
you are right, I'll try to fix it...
This seems to be a matter of the perturbation size.
Jacobian.CD.sm (14,92 КиБ) скачан 980 раз(а).
Martin KraskaPre-configured portable distribution of SMath Studio: https://en.smath.info/wiki/SMath%20with%20Plugins.ashx
1 пользователям понравился этот пост
Davide Carpi 01.09.2014 03:14:00
PLUGIN UPDATED SMath Studio 0.97.5346, SMath Studio 0.97.5737, SMath Studio 0.98
- Unknowns() now can be used inside functions (will returns 0 if no unknowns are found, instead of an error message);
- version numbering switched to 1.1.* to made easier to publish updates for different SS versions (next milestone: 1.2.*);
- password no longer required for those SS versions;
- Unknowns() now can be used inside functions (will returns 0 if no unknowns are found, instead of an error message);
- version numbering switched to 1.1.* to made easier to publish updates for different SS versions (next milestone: 1.2.*);
- password no longer required for those SS versions;
If you like my plugins please consider to support the program buying a license; for personal contributions to me: paypal.me/dcprojects
2 пользователям понравился этот пост
Hello Davide,
I am somewhat confused why FindRoot() cannot solve this equation. Am I doing something incorrectly?
It works just fine for some other equations..
Thanks!

FindRootCannotSolve.sm (4,59 КиБ) скачан 908 раз(а).
I am somewhat confused why FindRoot() cannot solve this equation. Am I doing something incorrectly?
It works just fine for some other equations..
Thanks!

FindRootCannotSolve.sm (4,59 КиБ) скачан 908 раз(а).
325 сообщений из 2 052 понравились и 1 не понравились пользователям.
Группа: Moderator
Hello,
It works for me. The same was mentioned some time ago here. It seems that some plugin is making trouble. I do not know which one.

Regards,
Radovan
It works for me. The same was mentioned some time ago here. It seems that some plugin is making trouble. I do not know which one.
Regards,
Radovan
When Sisyphus climbed to the top of a hill, they said: "Wrong boulder!"
Omorr, Davide:
- Uninstalling Maxima plugin did nothing
- Clean install of stable 0.98 SMath Studio solved the issue. Now I just need to find what other plugin is wreaking havoc there..
Thank you
- Uninstalling Maxima plugin did nothing
- Clean install of stable 0.98 SMath Studio solved the issue. Now I just need to find what other plugin is wreaking havoc there..
Thank you
1 пользователям понравился этот пост
Oscar Campo 07.04.2016 18:28:00
... the other point is that Smathh is too granular to
reveal the Gaussian part of the function.
reveal the Gaussian part of the function.
WroteMaths are unitless, therefore plot first the generatrix
to discover the function has no root(s). If you fabricate
with a unit system, you will have no plot. That's what I
call "invisible project"
You make a wrong point here. You prefer to avoid using units in your sheets, and that's your right; but declaring that units are inappropriate (as you do now and again) is spreading FUD. Using units is a great feature of SMath (that is optional, so that you may choose to work as you like), but your unawareness of ways to take advantage from using units while keeping ability to, e.g., plotting, doesn't mean that it's good to state such bold claims (insted, you could simply create a new thread in "Questions" and ask others how to plot while using units).

Second, the function itself doesn't have roots, but original poster looked not for equation f(x)=0, but for f(x)=n, which is f(x)-n=0.
Third, you mistakingly put square for pi (it was meant for seconds, not for pi - if you used units, you would katch this, because the result would arrive in s*Pa).
С уважением,
Михаил Каганский
Maths are unitless, end of it.
It would be fine in Smath if units would be decoration
but it's not in Smath 5346. From what Andery replied to
me, new versions have decoration style like Mathcad 11.
What do you put as units in Fourier, Laplace ...
In the Legendre Quadraature [Reconciliation] just posted
What's the unit of the cumulative integral ?
Answer: user "UnitGraphic".
So, we live it here.
Cheers, Jean
It would be fine in Smath if units would be decoration
but it's not in Smath 5346. From what Andery replied to
me, new versions have decoration style like Mathcad 11.
What do you put as units in Fourier, Laplace ...
In the Legendre Quadraature [Reconciliation] just posted
What's the unit of the cumulative integral ?
Answer: user "UnitGraphic".
So, we live it here.
Cheers, Jean
Please, don't multiply the offtopic here.
http://twt.mpei.ac.ru/ochkov/Unit_MC_MP/Unit_MC_MP_eng.htm
WroteMaths are unitless, end of it.
http://twt.mpei.ac.ru/ochkov/Unit_MC_MP/Unit_MC_MP_eng.htm
С уважением,
Михаил Каганский
WroteMaths are unitless, end of it.
Jean,
You tried really hard on the Mathcad forums to preach the same thing and was a huge detractor to your work ... which is quality collaboration and maths.
Now, your preaching about graphing ... that is something worth "harping" on!
Quite right, the debate lasted for a while in the Mathsoft Collaboratory.
I defeated my detractors twice and for ever in this Colaboratory:
1. I put units in the Reynolds number [unitless] but got result that
none could decipher, even Mathsoft.
2. Doing some Plank physics, same thing: not decipherable.
The best was that no collab [to my recollection] posted advanced problems
with units. Use units in your profit but make sure you check unitless.
Units system is for personal use at arithmetic maths level.
Cheers, Jean
I defeated my detractors twice and for ever in this Colaboratory:
1. I put units in the Reynolds number [unitless] but got result that
none could decipher, even Mathsoft.
2. Doing some Plank physics, same thing: not decipherable.
The best was that no collab [to my recollection] posted advanced problems
with units. Use units in your profit but make sure you check unitless.
Units system is for personal use at arithmetic maths level.
Cheers, Jean
Wrote
You assigned a wrong value for the 2nd argument, "2:variable".
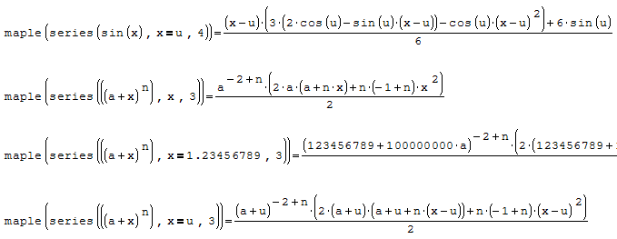
Hm, don't understand. For univariate expressions, the second argument is the development point.
For multivariate expressions, I would expect that I have to specify the independent variable and the development point.
In Maxima (not working in newer versions of SMath) it looks like this:
With your Taylor, I have this:

Sorry, I don't understand the result.

Analysis.sm (28,83 КиБ) скачан 945 раз(а).
Martin KraskaPre-configured portable distribution of SMath Studio: https://en.smath.info/wiki/SMath%20with%20Plugins.ashx
- Новые сообщения
- Нет новых сообщений
![2016-04-07 21_01_04-SMath Studio Desktop - [FindRootCannotSolve.sm_].png](/ru-RU/files/Download/228Q7e/2016-04-07-21_01_04-SMath-Studio-Desktop---[FindRootCannotSolve.sm_].png)


