1 страниц (8 вхождений)
Ellipse and... go to bugs - Is it one SMath bug? - Сообщения
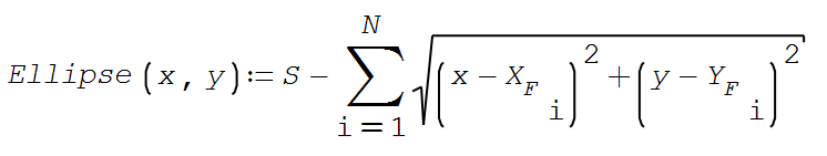
My students were building a multifocal ellipse and... almost went crazy. My ellipse is correct, but the student's is incorrect. Although the formulas are the same.
Can you guess where the error is and whether it is necessary to modify SMath so that such an error is visible?
Do you know more some examples?

Ellipse4.sm (11,6 КиБ) скачан 1183 раз(а).
Can you guess where the error is and whether it is necessary to modify SMath so that such an error is visible?
Do you know more some examples?

Ellipse4.sm (11,6 КиБ) скачан 1183 раз(а).
In fact only apparently the written formula is the same but in the first case "S" is outside the summation while in the second case it is inside the summation. You can verify this by copying and pasting the two formulas into a text editor.
sergio
sergio
1 пользователям понравился этот пост
Valery Ochkov 07.09.2023 13:42:00
Feel free to join the SMath Studio Users Discord Channel: https://discord.gg/PayZpJW
WroteIn fact only apparently the written formula is the same but in the first case "S" is outside the summation while in the second case it is inside the summation. You can verify this by copying and pasting the two formulas into a text editor.
sergio
You can also select/double-click the sum symbol to check what belongs to it.
![2023-09-07 16_58_16-SMath Solver - [Ellipse4.sm].png](/ru-RU/files/Download/nk5aqT/2023-09-07-16_58_16-SMath-Solver---[Ellipse4.sm].png)
![2023-09-07 16_58_04-SMath Solver - [Ellipse4.sm].png](/ru-RU/files/Download/4RqzFp/2023-09-07-16_58_04-SMath-Solver---[Ellipse4.sm].png)
If you like my plugins please consider to support the program buying a license; for personal contributions to me: paypal.me/dcprojects
2 пользователям понравился этот пост
The problem is that in the first Ellipse(x,y) definition, variable S is outside Sum function, but in the definition of your students is inside:
Your definition:
Ellipse(x,y):sum(sqrt((x-el(X.F,i))^2+(y-el(Y.F,i))^2),i,1,N)-S
Student´s definition:
Ellipse(x,y):sum(sqrt((x-el(X.F,i))^2+(y-el(Y.F,i))^2)-S,i,1,N)
Maybe, this explicit form is most clear for students:

Your definition:
Ellipse(x,y):sum(sqrt((x-el(X.F,i))^2+(y-el(Y.F,i))^2),i,1,N)-S
Student´s definition:
Ellipse(x,y):sum(sqrt((x-el(X.F,i))^2+(y-el(Y.F,i))^2)-S,i,1,N)
Maybe, this explicit form is most clear for students:
1 пользователям понравился этот пост
Valery Ochkov 07.09.2023 13:42:00
WroteBetter so ...
You can tell your students that you are using the Note under Example 3 of point 7.1.3 of ISO 80000-1:2009(E) Quantities and units, Part 1: General.

Best regards.
Alvaro.
1 страниц (8 вхождений)
- Новые сообщения
- Нет новых сообщений



