Find y(x) - Сообщения
X I managed to display and see the result. However, when writing the formula y(x) and trying to display y(x), it gives an error. help me please
Plus I can't figure out how to write sin^2(x) in order to have a formula...
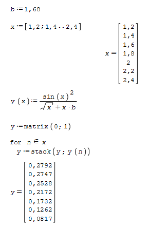
WroteHello everyone, I have such a task here, you need to find y (x) for each value of x in the range from 1.2 to 2.4 with a step of 0.2.
X I managed to display and see the result. However, when writing the formula y(x) and trying to display y(x), it gives an error. help me please
Plus I can't figure out how to write sin^2(x) in order to have a formula...

WroteWroteHello everyone, I have such a task here, you need to find y (x) for each value of x in the range from 1.2 to 2.4 with a step of 0.2.
X I managed to display and see the result. However, when writing the formula y(x) and trying to display y(x), it gives an error. help me please
Plus I can't figure out how to write sin^2(x) in order to have a formula...
And the result should be displayed as x = {}

WroteWroteHello everyone, I have such a task here, you need to find y (x) for each value of x in the range from 1.2 to 2.4 with a step of 0.2.
X I managed to display and see the result. However, when writing the formula y(x) and trying to display y(x), it gives an error. help me please
Plus I can't figure out how to write sin^2(x) in order to have a formula...
Seems to be a very old version of SMath Studio (display of ranges, round matrix brackets). May well be that the vectorize function isn't available yet in that version. You might consider upgrading or you have to use an explicit loop with for or while.
Wrote
Oh, I'm sorry, could you tell me how to make a vector over y(x)?
WroteWroteWroteHello everyone, I have such a task here, you need to find y (x) for each value of x in the range from 1.2 to 2.4 with a step of 0.2.
X I managed to display and see the result. However, when writing the formula y(x) and trying to display y(x), it gives an error. help me please
Plus I can't figure out how to write sin^2(x) in order to have a formula...
Seems to be a very old version of SMath Studio (display of ranges, round matrix brackets). May well be that the vectorize function isn't available yet in that version. You might consider upgrading or you have to use an explicit loop with for or while.
Ok, I tried to do it through the "for" loop, but it didn't work out very well for me, can you tell me how to do it?
You can see the button in picture I have uploaded at post #6.
![2022-09-27 10_35_10-SMath Solver - [Worksheet1_].png](/ru-RU/files/Download/qCUP5L/2022-09-27-10_35_10-SMath-Solver---[Worksheet1_].png)
Here is the vectorize button as shown by overlord in post #6
---Mozilla-Firefox.png)
As stated by mkraska, it is possible that you are using an old version of the program that doesn't have that function (in that case you have to use a loop to evaluate the function for each n-th value of x)
WroteThat's the dinamic assistance when you write directly vectorize
Here is the vectorize button as shown by overlord in post #6
As stated by mkraska, it is possible that you might using an old version of the program that doesn't have that function (in that case you have to use a loop to evaluate the function for each n-th value of x)
ok, I understand, but when I write vectorization, there is no such component, most likely there is simply no plugin or am I mistaken?
WroteWroteThat's the dinamic assistance when you write directly vectorize
Here is the vectorize button as shown by overlord in post #6
As stated by mkraska, it is possible that you might using an old version of the program that doesn't have that function (in that case you have to use a loop to evaluate the function for each n-th value of x)
ok, I understand, but when I write vectorization, there is no such component, most likely there is simply no plugin or am I mistaken?

WroteAs stated by mkraska, it is possible that you might using an old version of the program that doesn't have that function (in that case you have to use a loop to evaluate the function for each n-th value of x)
You have to update to a new version if you want to take advantage of vectorize, otherwise you have to use a loop from the programming palette (for or while); here you have a couple of ways
![2022-09-27 11_23_12-SMath Solver - [Worksheet1_].png](/ru-RU/files/Download/4domWn/2022-09-27-11_23_12-SMath-Solver---[Worksheet1_].png)
loops.sm (7,37 КиБ) скачан 918 раз(а).
BTW vectorize() is available in stable releases since SS 0.98.5935 (April 2016); square brackets in ranges are more recent, since SS 0.98.6593 (January 2018)
WrotePlus I can't figure out how to write sin^2(x) in order to have a formula...
sin²(x) is silent code for purpose, often replied by maple
You have to code it as exemplified.
Cheers ... Jean.
Maths sin2(x) plot.sm (6,47 КиБ) скачан 951 раз(а).
WrotePlus I can't figure out how to write sin^2(x) in order to have a formula...
I missed this part, sorry. Simply type this sequence (the highlighted content):
sin( > x > keyboard right arrow > ^ > 2
tricks like those shown by Jean Jiraud above are useful if you want to disply the content in a different way or in other cases beyond a beginner level needs (in other words, there is no need to overcomplicate the things here).
Here you have your example with sin^2(x) and probably the more compact way to make it working in your Smath Studio version.
Parlepanpindipon_sin2(x).sm (5,11 КиБ) скачан 932 раз(а).
![2022-09-27 14_02_53-SMath Solver - [Parlepanpindipon_sin2(x).sm].png](/ru-RU/files/Download/6se6av/2022-09-27-14_02_53-SMath-Solver---[Parlepanpindipon_sin2(x).sm].png)
WroteWrotePlus I can't figure out how to write sin^2(x) in order to have a formula...
I missed this part, sorry. Simply type this sequence (the highlighted content):
sin( > x > keyboard right arrow > ^ > 2
tricks like those shown by Jean Jiraud above are useful if you want to disply the content in a different way or in other cases beyond a beginner level needs (in other words, there is no need to overcomplicate the things here).
Here you have your example with sin^2(x) and probably the more compact way to make it working in your Smath Studio version.
Parlepanpindipon_sin2(x).sm (5,11 КиБ) скачан 932 раз(а).
Thx, very much
Wrotetricks like those shown by Jean Jiraud above are useful
... no tricks in there, just productive project at will,
that you didn't download, i.e: not helping yourself !
- Новые сообщения
- Нет новых сообщений

