1 страниц (14 вхождений)
Empty stack with maple - Empty stack with maple - Сообщения
Hi everyone
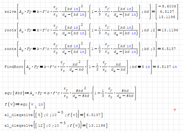
I have to try to solve this equation with maple and solve but I only get the result "Empty stack", Someone knows solve it?
Moment_Curvature relationship.sm (940,84 КиБ) скачан 1264 раз(а).
I have to try to solve this equation with maple and solve but I only get the result "Empty stack", Someone knows solve it?
Moment_Curvature relationship.sm (940,84 КиБ) скачан 1264 раз(а).
Hi. It seems that you put kd( ... ) instead kd*( ... ) in the maple solver.
Best regards.
Alvaro.
Best regards.
Alvaro.
Alvaro thanks for you answer but
"kd" is the only value unknown
"kd" is the only value unknown
Thanks a lot Alvaro
1. RootOf expands easily [Example 1]
2. root is undocumented, most precious for dual solver [Example 2]
3. allvalues ... most precious in invlaplace [Example 3]
Maple RootOf Example.sm (38,42 КиБ) скачан 1264 раз(а).
2. root is undocumented, most precious for dual solver [Example 2]
3. allvalues ... most precious in invlaplace [Example 3]
Maple RootOf Example.sm (38,42 КиБ) скачан 1264 раз(а).
Maple Solve "stack error" when solving for complex values using abs() - Tried using the solve function using different syntax but i keep getting "stack error"
I know i could just square both side then solve, but why does this not work
any help would be apprciated

Maple Solve.sm (10,41 КиБ) скачан 80 раз(а).
Maple Flow

I know i could just square both side then solve, but why does this not work
any help would be apprciated

Maple Solve.sm (10,41 КиБ) скачан 80 раз(а).
Maple Flow

Hi. Maple's plugin isn't like Maxima's in that it doesn't "remember" previous instructions. You have to include them all in the same call.

maple assume.sm (5,36 КиБ) скачан 69 раз(а).
Best regards.
Alvaro.

maple assume.sm (5,36 КиБ) скачан 69 раз(а).
Best regards.
Alvaro.
2 пользователям понравился этот пост
Thank you for your help.
Im still new to SMath and Maple so i apologize if some of my questions are silly, its just hard finding resources and tutorials for using maple in SMath.
Q1
I just found these other slightly strange results using Maple to solve that equation. I'm not too concerned with it, i just want to know what the proper way of doing this would be.
Q2
Additionally need a bit of help figuring out how to integrate with limits of a space curve. I am able to do indefinite integrals but im unsure how to do definite ones.

Q3
How would i differentiate space curves
Q4
how do i do element wise operations on matrices with maple. I know in SMath you can just use the 'vectorise' button but that does not seem to work with maple
Q5
how do i sum the values of a matrix? I tried add() and sum(), neither worked
any other tips or guides for using maple in SMath would be appreciated
Im still new to SMath and Maple so i apologize if some of my questions are silly, its just hard finding resources and tutorials for using maple in SMath.
Q1
I just found these other slightly strange results using Maple to solve that equation. I'm not too concerned with it, i just want to know what the proper way of doing this would be.
Q2
Additionally need a bit of help figuring out how to integrate with limits of a space curve. I am able to do indefinite integrals but im unsure how to do definite ones.

Q3
How would i differentiate space curves
Q4
how do i do element wise operations on matrices with maple. I know in SMath you can just use the 'vectorise' button but that does not seem to work with maple
Q5
how do i sum the values of a matrix? I tried add() and sum(), neither worked
any other tips or guides for using maple in SMath would be appreciated
Отредактировано 01.05.2026 11:54:47
Hi. Happy Labor Day, Some few notes
Q1
I just found these other slightly strange results using Maple to solve that equation. I'm not too concerned with it, i just want to know what the proper way of doing this would be.
First, this version of maple is from year 2000, Therefore, many of their results will be incomplete, "primitive", or simply wrong.

Regarding Ans1, it seems to be solving the equation for a, not for z. The same goes for Ans2, but I don't really understand what kind of answer maple is giving.
Regarding Ans3, SMath simplifies the result in that way; you can see it by going to Optimization -> None

Notice that SMath's simplification rules perform the following conversion, where Maple has nothing to do with it.

Regarding Ans4, the problem becomes very difficult for this version of Maple, since the root becomes complex to a real, but negative.
Q2
Additionally need a bit of help figuring out how to integrate with limits of a space curve. I am able to do indefinite integrals but im unsure how to do definite ones.
Use vectorize:

Q3
How would i differentiate space curves
Use vectorize:

Q4
how do i do element wise operations on matrices with maple. I know in SMath you can just use the 'vectorise' button but that does not seem to work with maple
The plugin doesn't translate SMath's vectorize function to maple, but you can use it externally, as in the integral example or this other one, where SMath doesn't know the exponential and sine integral functions, but maple does

Q5
how do i sum the values of a matrix? I tried add() and sum(), neither worked
Use sum( ... ) from SMath:

any other tips or guides for using maple in SMath would be appreciated
You can see the first page and subsequent pages of the plugin, where the author usually provides the most relevant examples of how to use it and what he created it for.
Best regards.
Alvaro.
Q1
I just found these other slightly strange results using Maple to solve that equation. I'm not too concerned with it, i just want to know what the proper way of doing this would be.
First, this version of maple is from year 2000, Therefore, many of their results will be incomplete, "primitive", or simply wrong.

Regarding Ans1, it seems to be solving the equation for a, not for z. The same goes for Ans2, but I don't really understand what kind of answer maple is giving.
Regarding Ans3, SMath simplifies the result in that way; you can see it by going to Optimization -> None

Notice that SMath's simplification rules perform the following conversion, where Maple has nothing to do with it.

Regarding Ans4, the problem becomes very difficult for this version of Maple, since the root becomes complex to a real, but negative.
Q2
Additionally need a bit of help figuring out how to integrate with limits of a space curve. I am able to do indefinite integrals but im unsure how to do definite ones.
Use vectorize:

Q3
How would i differentiate space curves
Use vectorize:

Q4
how do i do element wise operations on matrices with maple. I know in SMath you can just use the 'vectorise' button but that does not seem to work with maple
The plugin doesn't translate SMath's vectorize function to maple, but you can use it externally, as in the integral example or this other one, where SMath doesn't know the exponential and sine integral functions, but maple does

Q5
how do i sum the values of a matrix? I tried add() and sum(), neither worked
Use sum( ... ) from SMath:

any other tips or guides for using maple in SMath would be appreciated
You can see the first page and subsequent pages of the plugin, where the author usually provides the most relevant examples of how to use it and what he created it for.
Best regards.
Alvaro.
Отредактировано 02.05.2026 02:10:16
1 пользователям понравился этот пост
Shahid Ally 02.05.2026 02:04:13
Hi. Please, check some of the files in this old post:
https://smath.com/en-US/forum/topic/oSEzxZ/Grad_-Div-and-Curl-in-a-curvilinear-coordinate-system
Best regards.
Alvaro.
https://smath.com/en-US/forum/topic/oSEzxZ/Grad_-Div-and-Curl-in-a-curvilinear-coordinate-system
Best regards.
Alvaro.
1 пользователям понравился этот пост
Shahid Ally 03.05.2026 12:55:15
Thank You!
1 страниц (14 вхождений)
- Новые сообщения
- Нет новых сообщений


