1 страниц (8 вхождений)
Differentiation operator does not evaluate symbolically - Translate a differential operator from SMath to Maxima - Сообщения
Hello,
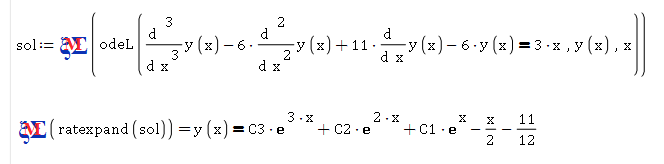
Do you know why or what could be the problem for SMath not translating properly a dy/dx. I need to write these operators in Maxima to solve a differential equation...

Thanks in advance,
Alvaro
Differentiation.sm (9,34 КиБ) скачан 776 раз(а).
Do you know why or what could be the problem for SMath not translating properly a dy/dx. I need to write these operators in Maxima to solve a differential equation...

Thanks in advance,
Alvaro
Differentiation.sm (9,34 КиБ) скачан 776 раз(а).
I have found a workaround, with eval_string() from Maxima.

Differentiation.sm (13,39 КиБ) скачан 759 раз(а).

Differentiation.sm (13,39 КиБ) скачан 759 раз(а).
WroteHello,
Do you know why or what could be the problem for SMath not translating properly a dy/dx. I need to write these operators in Maxima to solve a differential equation...
...
Hola tocayo. Is this the problem?: always it is diff(y,x)=0, but diff(y(x),x) remains unevaluated and is the correct form to express the derivative of a function.
Best regards.
Alvaro.
1 пользователям понравился этот пост
frapuano 31.05.2020 04:51:00
You are mixing two CAS that will not pass QA [Quality Assurance].
My understanding is that what was usable from Maxima is native in Smath.
Smath native derivative operator works from book library.
sin(x), ln(x), exp(x) ... OK
Gamma(x), erf(x) ... zap. We have them otherwise.
Cheers ... Jean
Differentiation.sm (17,82 КиБ) скачан 777 раз(а).
My understanding is that what was usable from Maxima is native in Smath.
Smath native derivative operator works from book library.
sin(x), ln(x), exp(x) ... OK
Gamma(x), erf(x) ... zap. We have them otherwise.
Cheers ... Jean
Differentiation.sm (17,82 КиБ) скачан 777 раз(а).
Thank you Jean, I am trying to test some symbolic solutions of differential equations just for a course video where I show some of the capabilities that are not present in Mathcad (Prime).
WroteThank you Jean, I am trying to test some symbolic solutions of differential equations just for a course video where I show some of the capabilities that are not present in Mathcad (Prime).
Very few DE have symbolic solutions, unless from Handbooks.
Few of them are available in Smath ... will be back on that.
WroteI am trying to test some symbolic solutions of differential equations just for a course video where I show some of the capabilities that are not present in Mathcad (Prime).
If Mathcad Prime does not solve those attached ... Oh !
Cheers ... Jean.
ODE Symbolic 4_Flies.sm (130,62 КиБ) скачан 801 раз(а).
ODE Symbolic Bernoulli.sm (11,38 КиБ) скачан 814 раз(а).
ODE_Laplace 1rst [Type 2].sm (22,68 КиБ) скачан 603 раз(а).
ODE Symbolic Verhulst [Logistic].sm (25,55 КиБ) скачан 662 раз(а).
ODE Symbolic Lambert.sm (21,81 КиБ) скачан 786 раз(а).
ODE_Laplace 1rst [Type 1].sm (24,7 КиБ) скачан 623 раз(а).
ODE_Laplace 2nd [Type 3].sm (34,62 КиБ) скачан 700 раз(а).
ODE Symbolic Eiffel.sm (21,45 КиБ) скачан 754 раз(а).
1 страниц (8 вхождений)
- Новые сообщения
- Нет новых сообщений
