1 страниц (7 вхождений)
Long Formula Writing - How to Write in a compact Form a Long Formula ? - Сообщения
Hello Everybody,
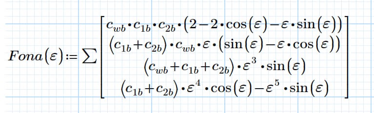
Please, do you have some smarter solutions to write a long formula like this?
![2023-10-26 15_33_38-SMath Solver - [How to compact.sm].png](/ru-RU/files/Download/MERY2Z/2023-10-26-15_33_38-SMath-Solver---[How-to-compact.sm].png)
I put inside the file my actual primarily
range of know-how.
How to compact.sm (13,76 КиБ) скачан 1018 раз(а).
Do you expect some improved solutions embedded in the system?
For instance: one alone split of a line seems in my opinion as being not enough.
Thanks for your attention,
Ioan
Please, do you have some smarter solutions to write a long formula like this?
![2023-10-26 15_33_38-SMath Solver - [How to compact.sm].png](/ru-RU/files/Download/MERY2Z/2023-10-26-15_33_38-SMath-Solver---[How-to-compact.sm].png)
I put inside the file my actual primarily
How to compact.sm (13,76 КиБ) скачан 1018 раз(а).
Do you expect some improved solutions embedded in the system?
For instance: one alone split of a line seems in my opinion as being not enough.
Thanks for your attention,
Ioan
Do to others as you would like them to do to you! Knowledge is of no value unless you put it into practice - Chekhov
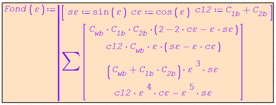
I don't have SMath here at work (company policy), but the following technique should work. It works in Mathcad, which I do have at work.
Set the function equal to the sum of a four-element column vector, then split the function definition at the three plus signs that separate the major elements of the definition and drop these pieces into the column vector. Please pardon any typos on my part.

Set the function equal to the sum of a four-element column vector, then split the function definition at the three plus signs that separate the major elements of the definition and drop these pieces into the column vector. Please pardon any typos on my part.

2 пользователям понравился этот пост
WrotePlease, do you have some smarter solutions to write a long formula like this ?
The undocumented maple(op) has hidden virtue of simplifying.
Works fine your long formula ... 4th option.
Jean.
Maths How to compact maple(op).sm (22,95 КиБ) скачан 1055 раз(а).
Wrote...
Set the function equal to the sum of a four-element column vector, then split the function definition at the three plus signs that separate the major elements of the definition and drop these pieces into the column vector. Please pardon any typos on my part.
Hi NotRetiredYet, Greetings from an AllreadyRetired,
Thank your for your suggestion. It's simplier and it works good:

Best Regards,
Ioan
Do to others as you would like them to do to you! Knowledge is of no value unless you put it into practice - Chekhov
WroteWrotePlease, do you have some smarter solutions to write a long formula like this ?
The undocumented maple(op) has hidden virtue of simplifying.
Works fine your long formula ... 4th option.
Jean.
Maths How to compact maple(op).sm (22,95 КиБ) скачан 1055 раз(а).
Bonjour Jean,
Thank you for your proposal. Of course it could be seen as a forth solution.
As I see, Maple turns a little bit the terms but finally we heve always a sum of four main terms.
Merci encore,
Ioan
Do to others as you would like them to do to you! Knowledge is of no value unless you put it into practice - Chekhov
WroteMerci encore ... Ioan
A great application of maple(op)
Suppose you have a long Lagrange canonical polynomial,
generously furbished of 15 D coefficients.
Tedious to collect all the coefficients by hand.
Click/click/done maple(op(Poly(x)))
Don't expand symbolic expr(x):=maple(op(Poly(x)))
... below expansion, set x:=1
evaluate the expansion ... all coefficients collected in vector.
Take care Ioan ... Jean.
WroteWrotePlease, do you have some smarter solutions to write a long formula like this ?
The undocumented maple(op) has hidden virtue of simplifying.
Works fine your long formula ... 4th option.immaculate grid
Jean.
Maths How to compact maple(op).sm (22,95 КиБ) скачан 1055 раз(а).
thankssssss
1 страниц (7 вхождений)
- Новые сообщения
- Нет новых сообщений