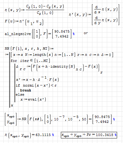
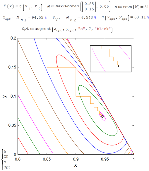
Форум SMath SMath Studio Samples Two-Step-Optimization 1 страниц (2 вхождений) Two-Step-Optimization - y(x1 ,x2, x3...) - Сообщения К последнему сообщению #1 Опубликовано: 27.04.2023 03:08:15 Valery Ochkov 62 сообщений из 666 понравились пользователям. Группа: User Do you know more correct method?8-28-33-St-Isp.sm (63,66 КиБ) скачан 779 раз(а). #2 Опубликовано: 27.04.2023 13:48:42 Alvaro Diaz Falconi 1 076 сообщений из 1 744 понравились пользователям. Группа: User WroteDo you know more correct method?This one?Best regards.Alvaro. 1 страниц (2 вхождений) Новые сообщения Нет новых сообщений