1 страниц (5 вхождений)
Smath Solver - Сообщения
Hi,
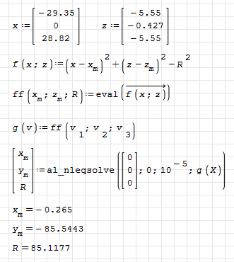
Im trying convert this mathcad solver to smath but it doesnt work.
Radius_318a.sm (9,34 КиБ) скачан 910 раз(а).

Im trying convert this mathcad solver to smath but it doesnt work.
Radius_318a.sm (9,34 КиБ) скачан 910 раз(а).
It is a non-linear system. With the internal "Roots" solver it is appropriate to use initial values sufficiently close to the result.
You can use some of the smath plugins that are more robust. For example, with "Solve" of the "Maxima plugin you get the result.
Radius_318a_ser.sm (337,14 КиБ) скачан 976 раз(а).
sergio
You can use some of the smath plugins that are more robust. For example, with "Solve" of the "Maxima plugin you get the result.
Radius_318a_ser.sm (337,14 КиБ) скачан 976 раз(а).
sergio
1 страниц (5 вхождений)
- Новые сообщения
- Нет новых сообщений


