How to assign one of the item in a vector to a variable?

How to assign one of the item in a vector to a variable? - Сообщения

#1 Опубликовано: 31.01.2021 00:44:01
netsonicyxf

netsonicyxf

2 сообщений из 79 понравились пользователям.

Группа: User

Click to enlarge

The sm file is here: https://en.smath.com/forum/yaf_postsm67562_X-Y-Plot-Region.aspx#post67562
#2 Опубликовано: 31.01.2021 02:17:08
Alvaro Diaz Falconi

Alvaro Diaz Falconi

1 076 сообщений из 1 744 понравились пользователям.

Группа: User

Wrote


The sm file is here: https://en.smath.com/forum/yaf_postsm67562_X-Y-Plot-Region.aspx#post67562



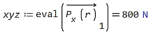
Almost same solution: use eval().

Clipboard02.jpg

Best regards.
Alvaro.
#3 Опубликовано: 31.01.2021 03:04:33
netsonicyxf

netsonicyxf

2 сообщений из 79 понравились пользователям.

Группа: User

Wrote

Wrote


The sm file is here: https://en.smath.com/forum/yaf_postsm67562_X-Y-Plot-Region.aspx#post67562



Almost same solution: use eval().

Clipboard02.jpg

Best regards.
Alvaro.



This works for me, Thank you.
  • Новые сообщения
  • Нет новых сообщений