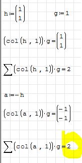
Форум SMath SMath Studio Bugs & Problems Wrong result when using function SUM() 1 страниц (3 вхождений) Wrong result when using function SUM() - SUM() bug - Сообщения К последнему сообщению #1 Опубликовано: 12.06.2015 11:58:36 shelley 0 сообщений из 15 понравились пользователям. Группа: User Could anyone look at this problem? The summation could not recognize the negative sign.Please see the attached. Marked with yellow is not right. #2 Опубликовано: 12.06.2015 17:10:52 Radovan Omorjan 325 сообщений из 2 052 понравились и 1 не понравились пользователям. Группа: Moderator Hello,This is again one of the weird SMath behavior regarding optimization.Just right click on at least a:=-h region and turn on Numeric optimizationRegards,Radovan When Sisyphus climbed to the top of a hill, they said: "Wrong boulder!" 2 пользователям понравился этот постDavide Carpi 12.06.2015 18:04:00, ioan92 13.06.2015 06:49:00 #3 Опубликовано: 18.06.2015 16:35:11 shelley 0 сообщений из 15 понравились пользователям. Группа: User WroteHello,This is again one of the weird SMath behavior regarding optimization.Just right click on at least a:=-h region and turn on Numeric optimizationRegards,RadovanThank you. It works turning on numeric 1 страниц (3 вхождений) Новые сообщения Нет новых сообщений