Functions as arguments of other functions - Сообщения
in my recent calculations I needed to have a function that takes two funtions as parameters
and calculates some values. Something like:
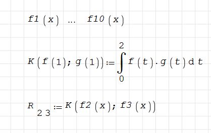
k_f(s;c)=s(1)*c(8)
k_f(sin; cos)=
Trying this in SMath Studio unfortunately failed.
Is is possible to implement such a thing in SMath Studio?
Yours,
Pawel Wierzba
Sorry for asking a question about something that has already been implemented.
Unfortunately, I had to pass functions as arguments, rather than define them the "standard way".
I had several functions and some coefficients to be calculated, based on them.
Something like the example below.

If done the standard way, it would involve a LOT of writing.
WroteUnfortunately, I had to pass functions as arguments, rather than define them the "standard way".
I had several functions and some coefficients to be calculated, based on them.
Something like the example below.
Attach the document for understanding that mystic doing.
WroteThank you for the advice. Fortunately, standard way of defining functions is well known to me.
Unfortunately, I had to pass functions as arguments, rather than define them the "standard way".
I had several functions and some coefficients to be calculated, based on them.
Something like the example below.
If done the standard way, it would involve a LOT of writing.
Great!
SMath has that awesome characteristic, so you can use that "standard way" for defining functions.
Good luck with your job!
WroteIf done the standard way, it would involve a LOT of writing.
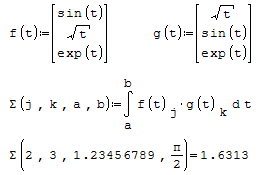
Make it algo style as exemplified.
At this point, you are missing a link ... what link ?
Before integration, you must plot the integrand.
That will avoid the Simpson integrator to result scrap.
Visit/search 'Samples' for more integrators [Adaptive, Romberg].
Wrote
At this point, you are missing a link ... what link ?
Before integration, you must plot the integrand.
That will avoid the Simpson integrator to result scrap.
Visit/search 'Samples' for more integrators [Adaptive, Romberg].
Wrote... Smath is a CAS, an advanced CAS
i.e: like competitive CAS, Smath is not a click_click_done.
Thank you for help, especially the comment about potential problems
with the integrator and illustrative examples.
Starting to study other integrators [Adaptive, Romberg], as advised.
I wish I could click a few "THANK" buttons for help, but on my two browsers
(Opera and Edge) they simply generate an error message.
WroteThank you for help, especially the comment about potential problems with the integrator and illustrative examples.
The 'thanks' button' never worked.
1. The previous image as *,sm
2. My Integration tool box.
Please, don't hesitate for + ... Jean
Integral 000000000000 vectorsf(j,k,a,b).sm (13,15 КиБ) скачан 1351 раз(а).
Integral 00000000 MASTER ToolBox.sm (477,13 КиБ) скачан 1358 раз(а).
WroteLooks like line() mysteriously solve the issue.
...
Hi. For help understanding what's happen: that behavior is similar to the SetDelayed in Wolfram Mathematica language: https://www.wolfram.com/language/elementary-introduction/2nd-ed/39-immediate-and-delayed-values.html
Best regards.
Alvaro.
- Новые сообщения
- Нет новых сообщений
![2021-07-07 13_32_01-SMath Studio - [Documento1_].png](/ru-RU/files/Download/QQmNvq/2021-07-07-13_32_01-SMath-Studio---[Documento1_].png)


