Hello,
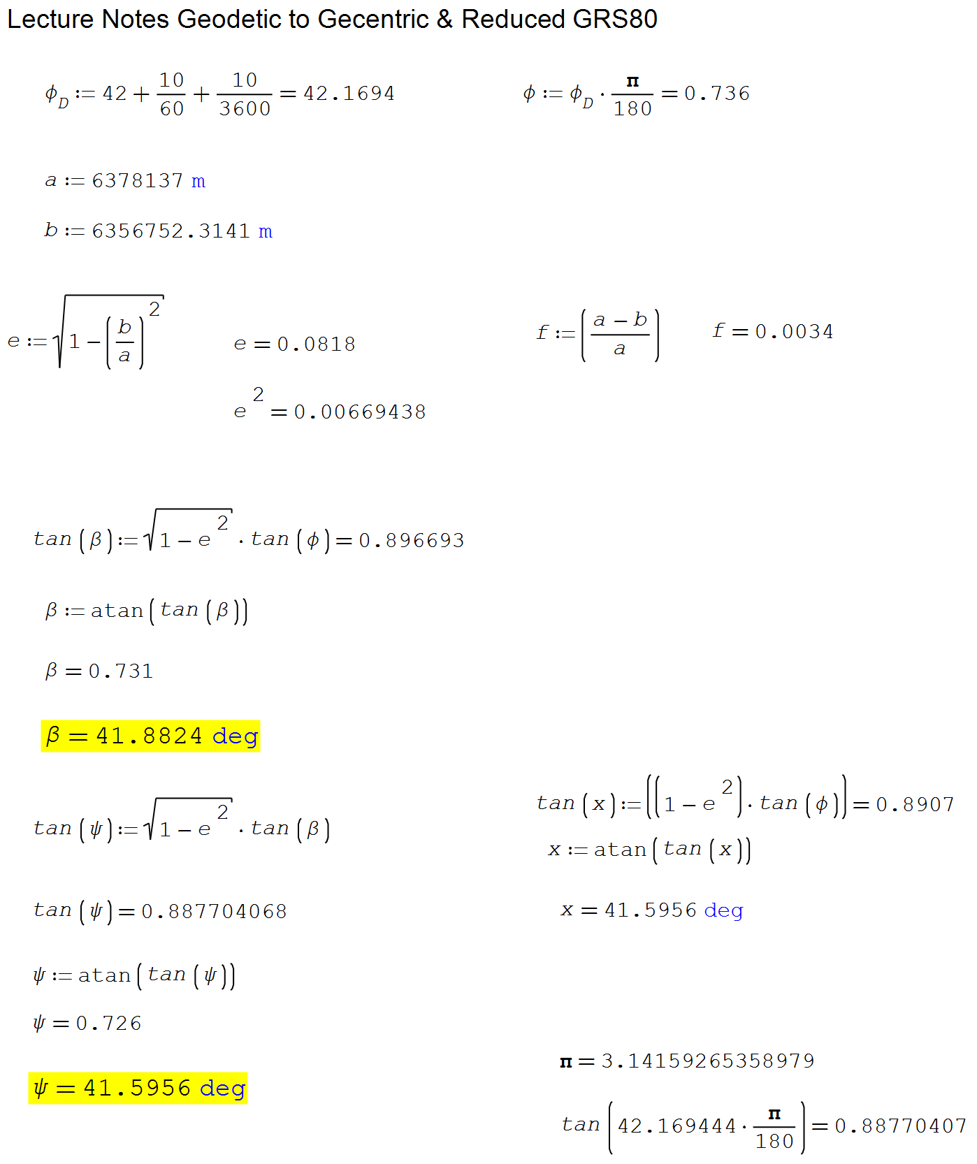
I have been having trouble for a while with the trig functions. Please review my attachment (geodetic_to_geocentric). In the following worksheet, the psi result near the bottom is incorrect, so I used an equivalent formula to cross check the result (using "x"). The results matched exactly, but incorrectly. So, I decided to check the value of pi and then compute the tangent of the angle shown. As you can see, the result is not correct. Lastly, I opened a new worksheet (trig_test) and it produced the correct result.
The correct value for psi is: 42.03382deg by the way.
This has been happening to me quite a bit recently. After working on a sheet, the math suddenly become erroneous and I
![]()
have to copy/paste to a new worksheet to continue.
Any help would be appreciated, Thanks!.
files attached...
matt

trig_test.sm (2,38 КиБ) скачан 968 раз(а).geodetic_to_geocentric.sm (12,2 КиБ) скачан 1003 раз(а).