Modulus of a vector

Modulus of a vector - Сообщения

#1 Опубликовано: 19.04.2021 03:25:40
JJJ

JJJ

0 сообщений из 13 понравились пользователям.

Группа: User

I want to calculate the magnitud or modulus of a vector. In mathcad I think is something like the name of the vector between four stripes.Thank you.
#2 Опубликовано: 19.04.2021 05:25:50
Davide Carpi

Davide Carpi

1 435 сообщений из 2 914 понравились пользователям.

Группа: Moderator

The magnitude of a vector can be calculated using norme()
If you like my plugins please consider to support the program buying a license; for personal contributions to me: paypal.me/dcprojects
#3 Опубликовано: 19.04.2021 05:41:06
JJJ

JJJ

0 сообщений из 13 понравились пользователям.

Группа: User

Hello Davide, thanks for your response. Do you have an example? I try to do that but I can´t, I don't know what I am doing bad. Thanks.
#4 Опубликовано: 19.04.2021 06:34:15
Davide Carpi

Davide Carpi

1 435 сообщений из 2 914 понравились пользователям.

Группа: Moderator

2021-04-19 11_33_38-SMath Studio - [Worksheet1_].png
If you like my plugins please consider to support the program buying a license; for personal contributions to me: paypal.me/dcprojects
#5 Опубликовано: 19.04.2021 09:19:53
Jean Giraud

Jean Giraud

983 сообщений из 6 866 понравились пользователям.

Группа: User

Wrote

I want to calculate the magnitude or modulus of a vector.


Euclidean.PNG
#6 Опубликовано: 19.04.2021 09:34:05
Jean Giraud

Jean Giraud

983 сообщений из 6 866 понравились пользователям.

Группа: User

Euclidean Algo.PNG
#7 Опубликовано: 19.04.2021 22:34:23
JJJ

JJJ

0 сообщений из 13 понравились пользователям.

Группа: User

Hello, thank you, I restarted my computer and now is ok.
As you know, sometimes the software is used with educational purposes, and if you define commands (such as norme and something like this) is a quite difficult to students. Is there a possibility, for example as is done in Mathcad, to define the norme command graphically (with two strips in both sides of the name of the vector)?.
Thank you very much.
#8 Опубликовано: 20.04.2021 06:57:57
Davide Carpi

Davide Carpi

1 435 сообщений из 2 914 понравились пользователям.

Группа: Moderator

Wrote

to define the norme command graphically (with two strips in both sides of the name of the vector)?.



Currently you can accomplish this by overriding the built-in abs function (as shown by Razonar here), and using it twice. Not straightforward for productivity but might be enough for documentation purposes.

2021-04-20 11_56_38-SMath Studio - [Worksheet1_].png
If you like my plugins please consider to support the program buying a license; for personal contributions to me: paypal.me/dcprojects
#9 Опубликовано: 20.04.2021 09:06:33
JJJ

JJJ

0 сообщений из 13 понравились пользователям.

Группа: User

Hello Davide,

Thank you very much, but I think that it would be a good idea to program and that it will be inside the software in future versions if possible, because it is a very useful tool.

Regards,

JJJ
#10 Опубликовано: 20.04.2021 09:13:36
Jean Giraud

Jean Giraud

983 сообщений из 6 866 понравились пользователям.

Группа: User

Wrote

Currently you can accomplish this by overriding the built-in abs function (as shown by Razonar here), and using it twice. Not straightforward for productivity but might be enough for documentation purposes.


Thanks Davide ... can you show an example that my post 5, 6 fail ?
So that I will update as proven.
Cheers ... Jean
#11 Опубликовано: 21.04.2021 06:31:19
Davide Carpi

Davide Carpi

1 435 сообщений из 2 914 понравились пользователям.

Группа: Moderator

Wrote

Thanks Davide ... can you show an example that my post 5, 6 fail ?
So that I will update as proven.
Cheers ... Jean



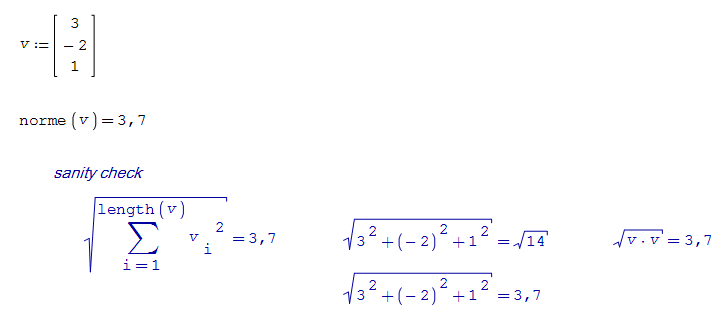
Here you have.

magnitude.sm (11,13 КиБ) скачан 725 раз(а).

2021-04-21 11_31_03-SMath Studio - [magnitude.sm].png
If you like my plugins please consider to support the program buying a license; for personal contributions to me: paypal.me/dcprojects
1 пользователям понравился этот пост
churichuro 21.04.2021 14:24:00
#12 Опубликовано: 21.04.2021 09:09:40
Jean Giraud

Jean Giraud

983 сообщений из 6 866 понравились пользователям.

Группа: User

Wrote

Here you have.


... sanity algo style.
Thanks Davide ... Jean.

Euclidean Algo Sanity.PNG

  • Новые сообщения
  • Нет новых сообщений