Questions converting Mathcad to SMath Studio/Solver - Сообщения
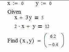
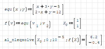
- How do I convert a Given: Find block from Mathcad into an Smath solve block?
- How can I split the 'Given' part over multiple lines - in Mathcad it takes 5 lines of a page even in landscape format?
The main troublesome part of the worksheet is shown below.

The definitions of the functions for calculating the heat capacities and latent heat are mostly omitted, but I include a few at the bottom - they read correctly into SMath and work correctly. Here is a sample:

A related question is how can I test a function in SMath using an array of variables? For example, in the case above, in Mathcad I can quickly check an array of temperature points against published tables by entering the following:

Is there anything similar in SMath?
Wrote
1. How do I convert a Given: Find block from Mathcad into an Smath solve block?
You have one equation in one variable. You can try al_nleqsol.
Wrote
2. How can I split the 'Given' part over multiple lines - in Mathcad it takes 5 lines of a page even in landscape format?
You can store pieces in variables, and then combine them. I.e. A:=expr1, B:=expr2, ... , final_expr:=A+B+C+...
Wrote
A related question is how can I test a function in SMath using an array of variables?
You have vectorize() in SMath.
Best regards.
Alvaro.
Wrote
....
A related question is how can I test a function in SMath using an array of variables? For example, in the case above, in Mathcad I can quickly check an array of temperature points against published tables by entering the following:
Is there anything similar in SMath?
You must use the vectorize operator:

You can check the attached file:
vectorize.sm (5,91 КиБ) скачан 940 раз(а).
I should have thought of that myself but I've been doing this nights, often at midnight or later, and obviously wasn't thinking clearly enough.
Thank you for all the advice and suggestions.
WroteWrote
1. How do I convert a Given: Find block from Mathcad into an Smath solve block?
You have one equation in one variable. You can try al_nleqsol.
Ta. I'll try that.
WroteWrote
2. How can I split the 'Given' part over multiple lines - in Mathcad it takes 5 lines of a page even in landscape format?
You can store pieces in variables, and then combine them. I.e. A:=expr1, B:=expr2, ... , final_expr:=A+B+C+...
Yes, I was thinking along those lines myself but hoping that someone could suggest a 'cleaner' solution that I might have been overlooking. I do that.
WroteWrote
A related question is how can I test a function in SMath using an array of variables?
You have vectorize() in SMath.
Thanks again. As I commented in my reply to oscapmo, I should have remembered that myself. Too many late nights.
Best regards,
Gerard
Clearly, having written this originally in Mathcad, I am too old and fossilised to jump out of Mathcad mode and exploit SMath thinking properly. I really appreciate those suggestions.
Again, thank you very much.
Wrote1. How do I convert a Given: Find block from Mathcad into an Smath solve block?
Gerard,
No CAS has equivalent. It is original property Mathsoft.
Given ► maximize/minimze/minerr/Odesolve
Often will report symbolic.
The closest to Minerr is Smath Conjugate Gradient.
Some easy to initialize, some difficult.
All my MCD have been converted, work fine.
I'm willing to try some for you.
Cheers ... Jean
WroteGerard,
No CAS has equivalent. It is original property Mathsoft.
Given ► maximize/minimze/minerr/Odesolve
Often will report symbolic.
The closest to Minerr is Smath Conjugate Gradient.
Some easy to initialize, some difficult.
All my MCD have been converted, work fine.
I'm willing to try some for you.
Cheers ... Jean
Already answered. Useless post.
There are function equivalents in SMath.
WroteThere are function equivalents in SMath.
Please, guide Gerard Minerr Smath
WroteHow do I convert a Given: Find block from Mathcad into an Smath solve block?
Given/Find for solving is too general w/o an example.
Here is an example of Given/Mineer.
Page16 Frechet.sm (47,75 КиБ) скачан 1023 раз(а).
WroteGiven/Find for solving is too general w/o an example.
In Smath, there are so many equivalent, even superior
to MCD Given/Find i.e: solve
Smath can't do multiple conditional solve.
Toke days Mathsoft Collaboratory to solve a multiple conditional.
In some instances, Mathcad can solve only recursive.
On similar: Smath is champion.
Please give a simple example ... Jean.
WroteHow do I convert a Given: Find block from Mathcad into an Smath solve block?
Here is an example.
Maths Goat Radius QUICK.sm (9,73 КиБ) скачан 947 раз(а).
- Новые сообщения
- Нет новых сообщений


