1 Pages (14 items)
solve & roots with units - Messages
#1 Posted: 6/3/2023 8:48:30 AM
#2 Posted: 6/3/2023 3:37:44 PM
WroteI can it solve in Mathcad - see please mcdx and pdf files
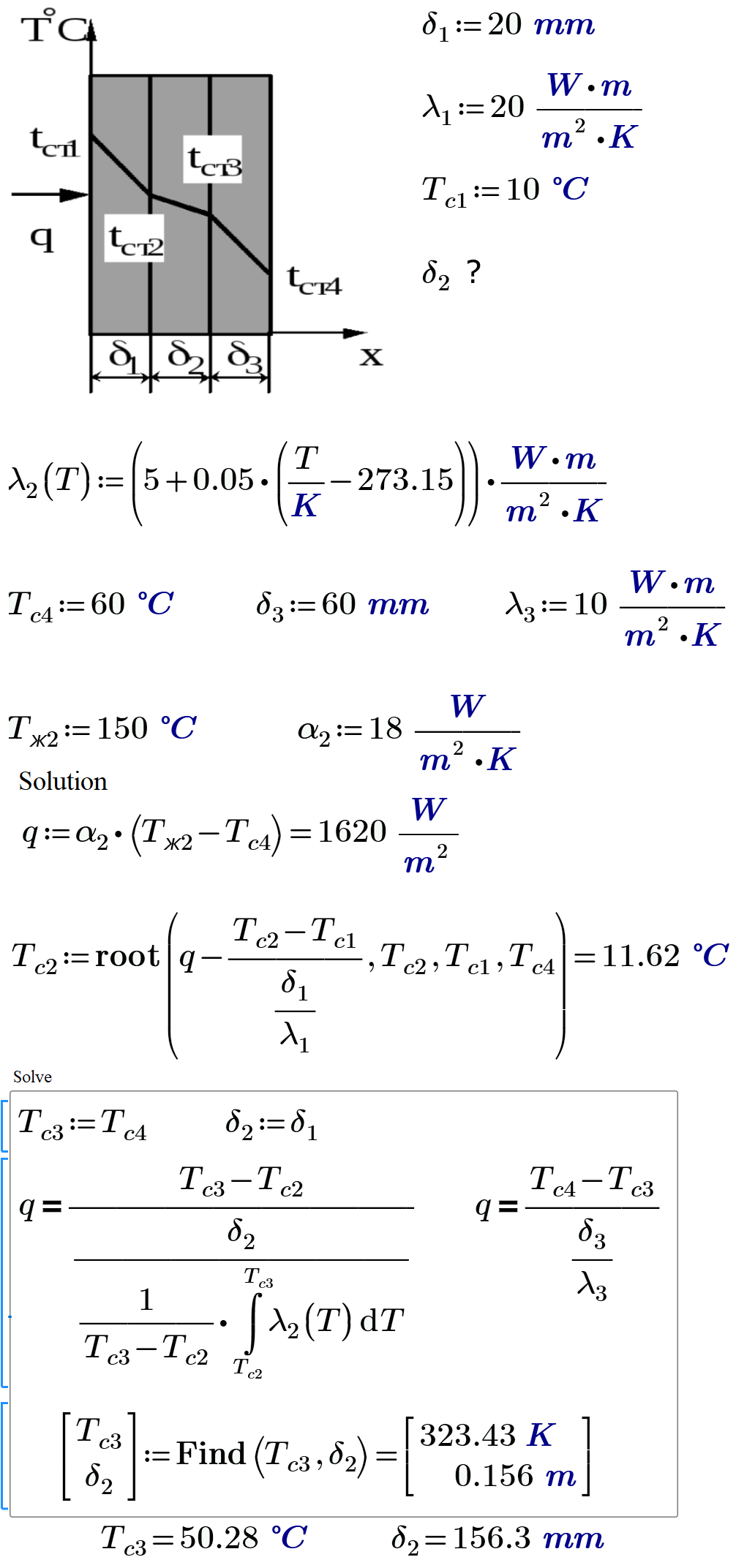
I try solve it (heat transfer) in SMath - see sm file
Help please
SMath symbolic solving of integration is not capable as Mathcad.
Thus integrals can't be used with numeric solvers.
However, you can use a little trick to solve them.
Using maple or maxima plugins is the key.
Here is your problem solved with various ways, roots() and Findroot().
Regards
solvewithunits.sm (23.4 KiB) downloaded 1087 time(s).
3 users liked this post
#3 Posted: 6/4/2023 2:18:41 AM
Hi. The attached have an al_nleqsol wrapper for a Mathcad block with units, that can accept SMath's integrals too.

Kerimov-Cvetkov-Velichko-1-7 - nSol.sm (17.97 KiB) downloaded 1118 time(s).
Best regards.
Alvaro.
Kerimov-Cvetkov-Velichko-1-7 - nSol.sm (17.97 KiB) downloaded 1118 time(s).
Best regards.
Alvaro.
2 users liked this post
#6 Posted: 6/5/2023 2:24:02 AM
#7 Posted: 6/5/2023 11:08:24 AM
Hello Valery,
In some application(s), you can associate FindRoot with epsilon.
Solve Diophantine Chemical Balance epsilon.sm (106.1 KiB) downloaded 1120 time(s).
In some application(s), you can associate FindRoot with epsilon.
Solve Diophantine Chemical Balance epsilon.sm (106.1 KiB) downloaded 1120 time(s).
1 users liked this post
Valery Ochkov 6/5/2023 11:26:00 AM
#8 Posted: 6/5/2023 5:39:04 PM
#9 Posted: 6/26/2023 2:33:01 AM
Please help, why can't find root for this simple equation?
File not found.File not found.
root.sm (20.2 KiB) downloaded 1044 time(s).
File not found.File not found.
root.sm (20.2 KiB) downloaded 1044 time(s).
#10 Posted: 6/26/2023 5:54:06 AM
#11 Posted: 6/26/2023 8:45:01 AM
WrotePlease help,
why can't find root for this simple equation ?
roots solves wrt scalar function(s)
In this example, both functions are scalar wrt 'x'.
Try ... roots[(sin(x)-Gamma(x),x,1]
'x not defined' ... Gamma(x) is not scalar wrt 'x'
Few more numerical functions are not scalar
erf(x), erf(x,n) ... erfc(x), erfc(x,n) ...
#12 Posted: 6/26/2023 8:55:02 AM
WroteTry ... roots[(sin(x)-Gamma(x),x,1]
In that case and similar ones,
RootSecant algorithm will spits out 15 decimals, instantaneous.
Cheers ... Jean.
#13 Posted: 6/26/2023 10:06:59 AM
WroteWrotewhy can't find root for this simple equation?
Because there aren't unknows
Thanks Davide.
Now I put "N" as unknown in the Eq. But it can't be solved either.

root.sm (19.41 KiB) downloaded 1035 time(s).
#14 Posted: 6/26/2023 10:58:58 AM
You have to play a little with the precision, especially if there are units involved; in this case, seems that 10^-3 mm is a stable target (10^-2 works too, but in some case it returns the guess value, meaning that is "close enough" for the algorithm - you can see in the plot that 0kN to 200kN is in +0.02/-0.02mm range)
![2023-06-26 15_55_45-SMath Solver - [root_r1.sm].png](/en-US/files/Download/KcnuBb/2023-06-26-15_55_45-SMath-Solver---[root_r1.sm].png)
root_r1.sm (24.03 KiB) downloaded 1074 time(s).
![2023-06-26 15_55_45-SMath Solver - [root_r1.sm].png](/en-US/files/Download/KcnuBb/2023-06-26-15_55_45-SMath-Solver---[root_r1.sm].png)
root_r1.sm (24.03 KiB) downloaded 1074 time(s).
If you like my plugins please consider to support the program buying a license; for personal contributions to me: paypal.me/dcprojects
1 users liked this post
netsonicyxf 6/26/2023 12:18:00 PM
1 Pages (14 items)
- New Posts
- No New Posts



![2023-06-26 10_49_28-SMath Solver - [root.sm_].png](/en-US/files/Download/M4RRUF/2023-06-26-10_49_28-SMath-Solver---[root.sm_].png)