Saving Runtime - Can Runtime be retrieved - Messages
WroteHi Razonar,
Thanks for your input. I need to review your coupled equations syntax to make sure I understand it, but I think I prefer it to my brute force method. I am new to SMath so I don't quite understand your method yet.
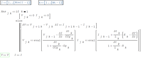
Don't warry. Mine it's brute force too. It just use range variables instead for loops. The variable Ans it's just for make ranges available to SMath, but variables V & I are "public" and get out of the definition of Ans.

Wrote
As far as the decoupling goes, it is done more from the physics than the math. For a spatially constant driving field over the transmission line and approximate shorts on both ends, the voltage on the line is assumed to be approximately zero. It is only an approximate solution, but surprisingly close to the coupled solution. See this pdf file to see the derivation of the decoupling.
Decouple TM Line Equations .pdf (301.71 KiB) downloaded 574 time(s).
Thanks, I not assume never dI/dx = 0, which now that you say, it's perfectly close to real situation. Also, one point, related with the Davide annotation: I don't see (and that's because I clear this) that the border condition at the end is used, only V=0 at the starts. This because time loops (in k) are from the start to the end.
Wrote
Here is the pdf of the Mathcad file: TDFD SUBROUTINE VS SMATH.pdf (52.64 KiB) downloaded 618 time(s). Or did you want the actual xmcd file? The VS SMATH in the title is somewhat misleading. It does not have both versions in the Mathcad file. I just used this file to help construct my original SMath Coupled TDFD routine that is in the original post.
Is this the sm file your want: TDFD COUPLED ROUTINE ORIG.sm (15.5 KiB) downloaded 904 time(s). Or did you want want my points per decade routine. That has not changed since my original post. I have changed the COUPLED TDFD WITH SNIPPETS.sm a little from when the original post when the code ran a long time. I made changes based on the various comments above including the numeric optimization in the whole code Re. Ber7's suggestion. This all made things run much faster. However, I still cannot get the very short run-times of the Mathcad code for NPD=30, NFS=-9, NFS=-1 and Ncell=100.
My current version of the Coupled TDFD code is here: HEMP COUPLED TDFD DBL EXPON DRIVER.sm (76.54 KiB) downloaded 961 time(s). With the current setting for the points per decade it runs for about 6 minutes on my computer. It runs for less than a second with the original points per decade.
Again, if you want the Mathcad codes in xmcd just let me know.
All of you guys have been most helpful in my quest to learn SMath and I truly appreciate it.
Reg
Thanks, with PDF versions of mcd files are more than enough.
Best regards.
Alvaro.
WroteThanks, with PDF versions of mcd files are more than enough.
The problem I have is about the generation of EE.
It looks to me a pure fabrication from 't'. I suspect EE
is an experimental data set from which 't' was designed.
As such, *.mcd has little interest has a sub-invention
or so to speak a conclusive interpretation.
Wait and see what Reg will say.
Why such a weird 't' shape as it looks more natural
if approximated by an analytical continuous model function.
Interesting ... Jean
Thanks, I not assume never dI/dx = 0, which now that you say, it's perfectly close to real situation. Also, one point, related with the Davide annotation: I don't see (and that's because I clear this) that the border condition at the end is used, only V=0 at the starts. This because time loops (in k) are from the start to the end.
I am not sure this answers your question. In my scheme, j=1..Ncell is in the voltage loop where the end conditions are applied. j=1..Ncell-1 only applies to the current loop, but the end conditions are not applied in the current loop, only in the voltage loop. In my scheme, the space loops on j are inside the time loop on k. In your scheme, it is not clear to me that the space loops are inside the time loop, but I am not yet familiar enough with SMath’s structure to be sure of that.
Reg
WroteWroteThanks, with PDF versions of mcd files are more than enough.
The problem I have is about the generation of EE.
It looks to me a pure fabrication from 't'. I suspect EE
is an experimental data set from which 't' was designed.
As such, *.mcd has little interest has a sub-invention
or so to speak a conclusive interpretation.
Wait and see what Reg will say.
Why such a weird 't' shape as it looks more natural
if approximated by an analytical continuous model function.
Interesting ... Jean
Yes, Jean; it’s pure fabrication.
Reg
WroteYes, Jean; itâs pure fabrication.
Reg
Thanks Reg for my good guess.
Obviously, no physical experiment(s) can result in discontinuity.
If you have some kind of graph for the EE or tabulated data,
I can manage to recover some nice clean shape, easy to digitize
a graph, even rough graph.
From there, I have lot of "Cats in the Hat".
If you have a
graph; it must have MinMax [X,Y]coordinates
Jean
- New Posts
- No New Posts