1 Pages (8 items)
Ellipse and... go to bugs - Is it one SMath bug? - Messages
#1 Posted: 9/7/2023 11:05:14 AM
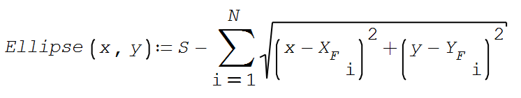
My students were building a multifocal ellipse and... almost went crazy. My ellipse is correct, but the student's is incorrect. Although the formulas are the same.
Can you guess where the error is and whether it is necessary to modify SMath so that such an error is visible?
Do you know more some examples?

Ellipse4.sm (11.6 KiB) downloaded 1308 time(s).
Can you guess where the error is and whether it is necessary to modify SMath so that such an error is visible?
Do you know more some examples?

Ellipse4.sm (11.6 KiB) downloaded 1308 time(s).
#2 Posted: 9/7/2023 11:47:49 AM
In fact only apparently the written formula is the same but in the first case "S" is outside the summation while in the second case it is inside the summation. You can verify this by copying and pasting the two formulas into a text editor.
sergio
sergio
1 users liked this post
Valery Ochkov 9/7/2023 1:42:00 PM
#3 Posted: 9/7/2023 11:58:54 AM
Feel free to join the SMath Studio Users Discord Channel: https://discord.gg/PayZpJW
#4 Posted: 9/7/2023 12:00:34 PM
WroteIn fact only apparently the written formula is the same but in the first case "S" is outside the summation while in the second case it is inside the summation. You can verify this by copying and pasting the two formulas into a text editor.
sergio
You can also select/double-click the sum symbol to check what belongs to it.
![2023-09-07 16_58_16-SMath Solver - [Ellipse4.sm].png](/en-US/files/Download/nk5aqT/2023-09-07-16_58_16-SMath-Solver---[Ellipse4.sm].png)
![2023-09-07 16_58_04-SMath Solver - [Ellipse4.sm].png](/en-US/files/Download/4RqzFp/2023-09-07-16_58_04-SMath-Solver---[Ellipse4.sm].png)
If you like my plugins please consider to support the program buying a license; for personal contributions to me: paypal.me/dcprojects
2 users liked this post
#5 Posted: 9/7/2023 12:01:59 PM
The problem is that in the first Ellipse(x,y) definition, variable S is outside Sum function, but in the definition of your students is inside:
Your definition:
Ellipse(x,y):sum(sqrt((x-el(X.F,i))^2+(y-el(Y.F,i))^2),i,1,N)-S
Student´s definition:
Ellipse(x,y):sum(sqrt((x-el(X.F,i))^2+(y-el(Y.F,i))^2)-S,i,1,N)
Maybe, this explicit form is most clear for students:

Your definition:
Ellipse(x,y):sum(sqrt((x-el(X.F,i))^2+(y-el(Y.F,i))^2),i,1,N)-S
Student´s definition:
Ellipse(x,y):sum(sqrt((x-el(X.F,i))^2+(y-el(Y.F,i))^2)-S,i,1,N)
Maybe, this explicit form is most clear for students:
1 users liked this post
Valery Ochkov 9/7/2023 1:42:00 PM
#7 Posted: 9/7/2023 2:24:15 PM
WroteBetter so ...
You can tell your students that you are using the Note under Example 3 of point 7.1.3 of ISO 80000-1:2009(E) Quantities and units, Part 1: General.

Best regards.
Alvaro.
#8 Posted: 9/7/2023 3:28:30 PM
1 Pages (8 items)
- New Posts
- No New Posts



