1 Pages (7 items)
How to obtain the Peak of this example? - Messages
#1 Posted: 2/25/2023 4:14:28 AM
Hi, guys:
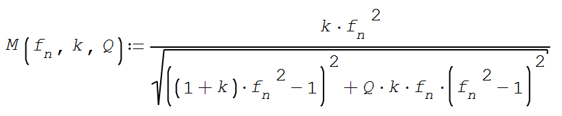
Here is a formula

And the Targets are:
1. Draw the plot, but only the first quadrant is required.
2. Find the value of fn when M is maximum.
3. Find the maximum value of M.
I did the 1st target successfully, but can not find the values of fn and M. I have tried my best and search the forum but could not find any way to fix it. Please help to fix it, Thank you very much!

=====================

=====================
LLC.sm (12.37 KiB) downloaded 910 time(s).
Here is a formula

And the Targets are:
1. Draw the plot, but only the first quadrant is required.
2. Find the value of fn when M is maximum.
3. Find the maximum value of M.
I did the 1st target successfully, but can not find the values of fn and M. I have tried my best and search the forum but could not find any way to fix it. Please help to fix it, Thank you very much!

=====================

=====================
LLC.sm (12.37 KiB) downloaded 910 time(s).
#2 Posted: 2/25/2023 9:57:08 AM
WroteWrotePlease help to fix it, Thank you very much!
You need the Golden ratio ... doctored version.
If the function is a data set, spline/smooth the region
... as well the FindIndex is a good utility.
Cheers ... Jean
LLC Doctored for MAX.sm (27.88 KiB) downloaded 857 time(s).
Golden ratio QUICK Copy.sm (123.8 KiB) downloaded 876 time(s).
wow!I think I understand, it is very useful, thank you very much!
#3 Posted: 2/25/2023 2:41:41 PM
The built-in functions are perfectly well suited for the purpose. You just need to separate differentiation from root finding.

LLC.sm (11.01 KiB) downloaded 878 time(s).

LLC.sm (11.01 KiB) downloaded 878 time(s).
Technische Mechanik mit SMath Studio: https://link.springer.com/book/10.1007/978-3-658-50592-9
2 users liked this post
#4 Posted: 2/25/2023 8:54:24 PM
#5 Posted: 2/26/2023 8:58:40 PM
#6 Posted: 2/27/2023 10:55:02 PM
1 Pages (7 items)
- New Posts
- No New Posts

