1 Pages (6 items)
vectorise() go to deep without first calculating the matrix product - I think it should multiply the matrices first and then apply the comparison per line. - Messages
#1 Posted: 8/16/2019 12:18:08 PM
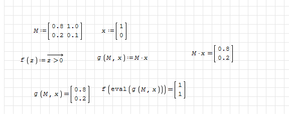
I think the vectorize() command goes too deep in the example. Probably it takes the first row from the first matrix, then it probably tries to multiply it with the second vector. Then I get the error message: Number of rows and/or columns of matrices or vectors do not match.
I think it should multiply the matrices first and then apply the comparison per line.
Can somebody take a look at this, please?
matrix_nested_function.sm (11.57 KiB) downloaded 863 time(s).
#2 Posted: 8/16/2019 2:05:19 PM
Maybe this is a simple way to solve the problem

matrix_nested_function_CBG.sm (11.45 KiB) downloaded 816 time(s).
Best Regards
Carlos

matrix_nested_function_CBG.sm (11.45 KiB) downloaded 816 time(s).
Best Regards
Carlos
#3 Posted: 8/16/2019 2:07:39 PM
Feel free to join the SMath Studio Users Discord Channel: https://discord.gg/PayZpJW
#4 Posted: 8/16/2019 2:50:18 PM
Thank you both for the quick answer! I didn't know there was an eval() function. I now understand that SMath resolves everything as low as possible and then calculates in one go. The use of eval() in the right place prevents this.
#5 Posted: 8/16/2019 4:51:54 PM
#6 Posted: 8/16/2019 4:55:56 PM
... some stuff Truth table
Utilities Matrix Truth Table [Locate row_col].sm (43.39 KiB) downloaded 739 time(s).
Utilities Matrix Truth Table [Locate row_col].sm (43.39 KiB) downloaded 739 time(s).
1 Pages (6 items)
- New Posts
- No New Posts
