Two-Step-Optimization

Two-Step-Optimization - y(x1 ,x2, x3...) - Messages

#1 Posted: 4/27/2023 3:08:15 AM
Valery Ochkov

Valery Ochkov

64 likes in 670 posts.

Group: User

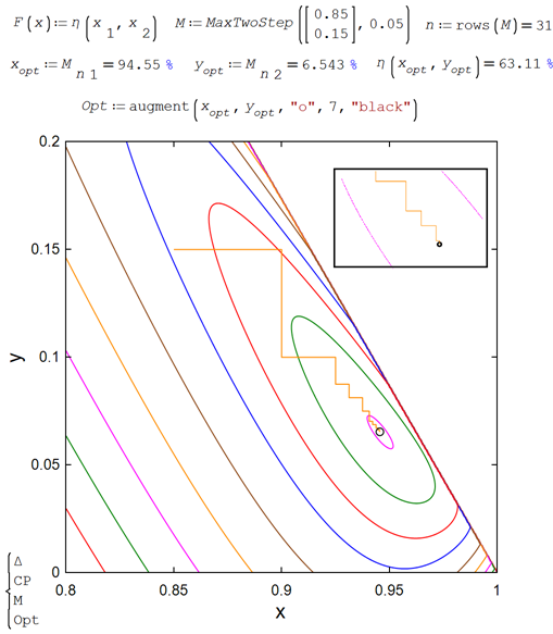
Do you know more correct method?

8-28-33-St-Isp.sm (63.66 KiB) downloaded 855 time(s).
33.png
#2 Posted: 4/27/2023 1:48:42 PM
Alvaro Diaz Falconi

Alvaro Diaz Falconi

1,078 likes in 1,749 posts.

Group: User

Wrote

Do you know more correct method?


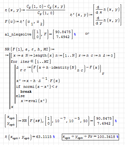
This one?

Clipboard01.png

Best regards.
Alvaro.
  • New Posts
  • No New Posts