1 Pages (18 items)
solving simultaneous equations with Solve - Solve() Maxima not working - Messages
#1 Posted: 4/5/2022 3:45:27 PM
hi,
I used the Solve function a lot before but for some reason it does not work for this simple example.
I need to get the RayLeigh Damping factors alpha and beta using two frequencies, so two simple simultaneous equations should do it. tried using Solve but no luck.
Does anyone know why it is not solving?
Thanks in advance
File not found.File not found.
I used the Solve function a lot before but for some reason it does not work for this simple example.
I need to get the RayLeigh Damping factors alpha and beta using two frequencies, so two simple simultaneous equations should do it. tried using Solve but no luck.
Does anyone know why it is not solving?
Thanks in advance
File not found.File not found.
#3 Posted: 4/5/2022 6:24:50 PM
You can use roots() for your function. And a vectorize() can simplify it.
However, to use Assign() you will need this function to merge vars and solutions.
Regards
Assign_without_Maxima Solve().sm (7.36 KiB) downloaded 768 time(s).

However, to use Assign() you will need this function to merge vars and solutions.
Regards
Assign_without_Maxima Solve().sm (7.36 KiB) downloaded 768 time(s).

1 users liked this post
Mo 4/5/2022 10:22:00 PM
#4 Posted: 4/5/2022 10:22:48 PM
Thanks Overlord, PompelmoTell, greatly appreciated!!
#5 Posted: 4/6/2022 10:28:07 AM
Greetings,
Another approach would be to use some elbow grease, you can substitute terms by hand and solve for 𝛼 and 𝛽:
Keypress (You can copy/paste the following into your worksheet):
*NOTE: ω.1 and ω.2 shown above are variables with subscript, they are not vectors ω[1 and ω[2; You should be able to substitute ω.1 for ω[1 if that serves your purposes.
- - -![[SMath] Simultaneous Equations.jpg](/en-US/files/Download/23FW8Q/[SMath]-Simultaneous-Equations.jpg)
- Kenny Lemens, P.E.
Another approach would be to use some elbow grease, you can substitute terms by hand and solve for 𝛼 and 𝛽:
Keypress (You can copy/paste the following into your worksheet):
α:{2*D*ω.1*ω.2}/{ω.1+ω.2}
β:α/{ω.1*ω.2}
- - -
![[SMath] Simultaneous Equations.jpg](/en-US/files/Download/23FW8Q/[SMath]-Simultaneous-Equations.jpg)
- Kenny Lemens, P.E.
"No matter where you go, there you are." -Buckaroo BanzaiHotkeys: https://en.smath.com/forum/resource.ashx?a=45771&b=2
1 users liked this post
Mo 4/6/2022 11:57:00 AM
#6 Posted: 4/6/2022 11:40:36 AM
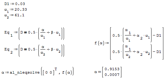
If the damping coefficients are denoted by α1 and α2, you can use the function al_nlegsoive
test.sm (6.99 KiB) downloaded 807 time(s).

test.sm (6.99 KiB) downloaded 807 time(s).

#8 Posted: 4/7/2022 1:43:03 PM
#9 Posted: 4/7/2022 5:27:55 PM
solving with uni's latest addition mathcad blocks;
you wouldn't need Eq: actually, but it can be shown.
mathblock.sm (5.15 KiB) downloaded 766 time(s).

you wouldn't need Eq: actually, but it can be shown.
mathblock.sm (5.15 KiB) downloaded 766 time(s).

1 users liked this post
Mo 4/9/2022 10:28:00 PM
#10 Posted: 4/7/2022 6:19:34 PM
I think this is the most sophisticated method of my way.
It can get unknowns from equation, solve them.
In the end assigns numerical values to unknowns.
You don't need to define alpha or beta or any variable.
All process is automatic.
Regards
mathblock_v2.sm (5.19 KiB) downloaded 800 time(s).

There is also this way for guess define.

It can get unknowns from equation, solve them.
In the end assigns numerical values to unknowns.
You don't need to define alpha or beta or any variable.
All process is automatic.
Regards
mathblock_v2.sm (5.19 KiB) downloaded 800 time(s).

There is also this way for guess define.

#11 Posted: 4/8/2022 2:19:42 AM
WroteI think this is the most sophisticated method of my way.
It can get unknowns from equation, solve them.
In the end assigns numerical values to unknowns.
You don't need to define alpha or beta or any variable.
All process is automatic.
Regards
There is also this way for guess define.
This is good, but for a system of linear equations(our case), the guess can be arbitrary.
#12 Posted: 4/8/2022 8:04:07 PM
And finally a version with Solve() and list injection region:

mathblock_Solve.sm (4.86 KiB) downloaded 757 time(s).

mathblock_Solve.sm (4.86 KiB) downloaded 757 time(s).
Martin KraskaPre-configured portable distribution of SMath Studio: https://en.smath.info/wiki/SMath%20with%20Plugins.ashx
1 users liked this post
sergio 4/9/2022 4:48:00 AM
#13 Posted: 4/11/2022 9:57:44 AM
Greetings,
If plugins are considered, you can also consider the use of Maple:
- - -![[SMath] Maple - Simulatneous Equ..jpg](/en-US/files/Download/yzzGBF/[SMath]-Maple---Simulatneous-Equ..jpg)
In the image I posted, the 'equal sign' shown on those two equations are actually symbolic equals; keypress: [ctrl] + [.] instead of keypress [=].
Kenny Lemens, P.E.
If plugins are considered, you can also consider the use of Maple:
- - -
![[SMath] Maple - Simulatneous Equ..jpg](/en-US/files/Download/yzzGBF/[SMath]-Maple---Simulatneous-Equ..jpg)
In the image I posted, the 'equal sign' shown on those two equations are actually symbolic equals; keypress: [ctrl] + [.] instead of keypress [=].
Kenny Lemens, P.E.
"No matter where you go, there you are." -Buckaroo BanzaiHotkeys: https://en.smath.com/forum/resource.ashx?a=45771&b=2
#14 Posted: 4/11/2022 4:44:08 PM
Hi. The isol solution, using only the Mathcad block plugin.

isol_example.sm (68.13 KiB) downloaded 748 time(s).
isol_example.pdf (34.57 KiB) downloaded 390 time(s).
Best regards.
Alvaro.

isol_example.sm (68.13 KiB) downloaded 748 time(s).
isol_example.pdf (34.57 KiB) downloaded 390 time(s).
Best regards.
Alvaro.
1 users liked this post
sergio 4/12/2022 5:01:00 AM
#15 Posted: 4/14/2022 12:10:17 PM
Thank you all for the feedback, is there a literature or manual to explain the Mathcad block plugin?
Thanks
Thanks
#16 Posted: 4/14/2022 2:54:00 PM
WroteThank you all for the feedback, is there a literature or manual to explain the Mathcad block plugin ?
For that particular example, maple is an algebraic export.
Mathcad block has not yet been exemplified in Smath Community
of what it can do vs what native Smath can't.
Cheers ... Jean.
Codes Solve.sm (12.46 KiB) downloaded 779 time(s).
#17 Posted: 4/14/2022 7:43:45 PM
#18 Posted: 4/14/2022 8:19:07 PM
WroteThank you all for the feedback, is there a literature or manual to explain the Mathcad block plugin?
Thanks
We have what Viacheslav provided us.
There are some samples or functions too which individual users uploaded.
You can look the extension page for some examples.
And there are some samples in forum topic that users posted.
It may be a small bunch, but we try to understand its capabilities.
This feature/plugin is also new to us.
Regards
https://en.smath.com/forum/yaf_postst726_Mathcad-Toolbox.aspx
1 Pages (18 items)
- New Posts
- No New Posts
