Why the varible doesn't work?

Why the varible doesn't work? - Messages

#1 Posted: 1/9/2021 10:19:46 AM
netsonicyxf

netsonicyxf

2 likes in 79 posts.

Group: User

1.png

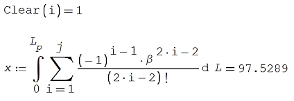
Why "beta" works in Cos(), while it doesn't in the second integration?

1.sm (6.15 KiB) downloaded 630 time(s).
#2 Posted: 1/9/2021 10:36:56 AM
Andrey Ivashov

Andrey Ivashov

2,314 likes in 3,932 posts.

Group: Super Administrator

Seems it is an error in combination of int() and sum() functions. Will check this.
Thank you!
#3 Posted: 1/9/2021 11:27:36 AM
Jean Giraud

Jean Giraud

983 likes in 6,866 posts.

Group: User

Wrote

Why "beta" works in Cos(), while it doesn't in the second integration?


Maybe like this.

Unknown.PNG
#4 Posted: 1/9/2021 11:53:57 AM
Alvaro Diaz Falconi

Alvaro Diaz Falconi

1,076 likes in 1,744 posts.

Group: User

Hi. You define "i:0" at top right. Sum() index is not local and take that value. You must to clean i or use another letter.

Clipboard03.jpg

Best regards.
Alvaro.
1 users liked this post
sergio 1/9/2021 12:01:00 PM
  • New Posts
  • No New Posts