1 Pages (11 items)
Ode symbolic solution with IC - How to solve? - Messages
#1 Posted: 7/1/2023 5:56:48 AM
#2 Posted: 7/1/2023 7:55:36 AM
WroteSee please one ODE symbolic solution without IC
We have it done for exporting formula c/w constants & IC
Jean
ODE_Laplace 2nd [Type 3].sm (34.42 KiB) downloaded 904 time(s).
1 users liked this post
Valery Ochkov 7/1/2023 9:20:00 AM
#3 Posted: 7/1/2023 9:20:10 AM
WroteWroteSee please one ODE symbolic solution without IC
We have it done for exporting formula c/w constants & IC
Jean
ODE_Laplace 2nd [Type 3].sm (34.42 KiB) downloaded 904 time(s).
Thanks!
But no way to do so in SMath

#4 Posted: 7/1/2023 10:51:35 AM
WroteWroteThanks!
But no way to do so in SMath
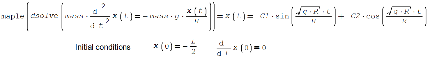
"L & m" are missing in dsolve result ?
m is missing in dsolve.
#6 Posted: 7/2/2023 4:06:01 AM
WroteWroteSee please one ODE symbolic solution without IC
Hi Valery. Use Ctrl+Shift+K for write D(x)(0), which means x'(0)
Best regards.
Alvaro.
Thanks!
dsolve-ICs.sm (10.61 KiB) downloaded 1152 time(s).

#7 Posted: 7/3/2023 3:43:12 AM
The distance between the cities added.
GravityTrain.sm (31.01 KiB) downloaded 1078 time(s).
GravityTrain.pdf (233.1 KiB) downloaded 636 time(s).
Best regards.
Alvaro.
GravityTrain.sm (31.01 KiB) downloaded 1078 time(s).
GravityTrain.pdf (233.1 KiB) downloaded 636 time(s).
Best regards.
Alvaro.
1 users liked this post
Valery Ochkov 7/3/2023 4:18:00 AM
#8 Posted: 7/3/2023 7:30:35 AM
Earth distance companion added.
Sanity check Air Industry.
Jean
Angle Vincenty Earth Distance [Mike].sm (49.78 KiB) downloaded 893 time(s).
Sanity check Air Industry.
Jean
Angle Vincenty Earth Distance [Mike].sm (49.78 KiB) downloaded 893 time(s).
#9 Posted: 7/4/2023 2:14:47 AM
#10 Posted: 7/4/2023 9:30:11 AM
#11 Posted: 7/4/2023 6:53:08 PM
WroteA pendulum ...
The exact solution needs some handwrite work.
Edited: a hard handwrite work. Previous version was wrong.
Correct solution -> pendulum v2.sm (13.73 KiB) downloaded 1107 time(s).
Wrong solution -> pendulum.sm (13.88 KiB) downloaded 1095 time(s).
Best regards.
Alvaro.
1 users liked this post
Valery Ochkov 7/5/2023 6:23:00 AM
1 Pages (11 items)
- New Posts
- No New Posts



