How to solve the nonlinear equations?

How to solve the nonlinear equations? - Messages

#1 Posted: 3/4/2025 10:39:59 AM
netsonicyxf

netsonicyxf

2 likes in 79 posts.

Group: User

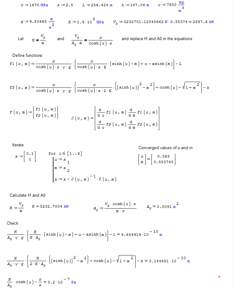
The 4 unknows are H, u, m and A0
The al_nlesoolve doesn't get answer.
File not found.File not found.
#2 Posted: 3/4/2025 1:33:17 PM
Valery Ochkov

Valery Ochkov

66 likes in 682 posts.

Group: User

The first step!
From 4 to 3 equations!
#3 Posted: 3/4/2025 9:04:31 PM
StvMath

StvMath

44 likes and 1 dislikes in 71 posts.

Group: User

In fact, reduce to two equations and use a simple two-variable Newton-Raphson:

1b.sm (23.34 KiB) downloaded 1373 time(s).

1b.png
1 users liked this post
netsonicyxf 3/5/2025 6:18:00 PM
#4 Posted: 3/6/2025 12:56:21 AM
Valery Ochkov

Valery Ochkov

66 likes in 682 posts.

Group: User

With plot
Forum.png
Forum.sm (22.7 KiB) downloaded 1396 time(s).

1 users liked this post
netsonicyxf 3/8/2025 9:52:00 PM
  • New Posts
  • No New Posts