Maple Tools - Symbolic engine for SMath Studio. - Messages
#101 Posted: 5/4/2013 5:38:36 PM
#102 Posted: 5/4/2013 5:59:57 PM
Perhaps an option to support text indices is to change the dot to underscore and vice versa in the interface. Maple can handle that, it the way it is done in latex and in SMath there is no reason for ugly variable names with underscores (except for compatibility with Mathcad
However, I have no idea, how essential that is for the users and if that is easy to do in the current interface concept. In general, I appreciate the plugins supporting the base features of SMath. OK, I am not expecting unit support to come soon...
Martin KraskaPre-configured portable distribution of SMath Studio: https://en.smath.info/wiki/SMath%20with%20Plugins.ashx
#103 Posted: 5/5/2013 7:04:40 AM
WroteHowever, I have no idea, how essential that is for the users and if that is easy to do in the current interface concept. In general, I appreciate the plugins supporting the base features of SMath. OK, I am not expecting unit support to come soon...
Updated. I think I found a way. As for the units, I do not understand what you mean.

Russia ☭ forever, Viacheslav N. Mezentsev
1 users liked this post
Martin Kraska 5/5/2013 7:21:00 AM
#104 Posted: 5/5/2013 7:46:20 AM
Again, great work, lots of thanks!
Now аll errors (mainly with parse and map) have gone.
The method for text indices that you found seems to be stable and cannot be tricked by numbers.
[MATH lang=ENG]maple(diff((x.1^3+x.2^3),x.1))=3*x.1^2@#[/MATH]
However, same procedure...
I found another localization issue. When function style is set to european, that makes trouble. I think it would be sensible if internally there was always the same representation, regardless of local settings. Then the plugin providers would not be forced to handle that on their own and could focus on the added features. However, it is as it is.
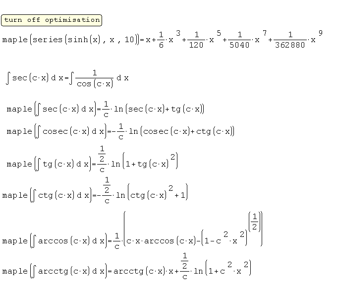
[MATH lang=ENG]maple(series(sh(x),x))[/MATH] results in "empty stack"
As for the units: for purely symbolical calculations that is not required. This is more of an issue for numeric procedures like definite integration, ode and equations solving. These work in SMath only for unit-free integration variable or unknown variable. An example for better unit handling is the NonLinearSolvers plugin. You can specify initial values or limits with units and get results with units at the price of that you have to think about the dimensions of error tolerances.
Now аll errors (mainly with parse and map) have gone.
The method for text indices that you found seems to be stable and cannot be tricked by numbers.
[MATH lang=ENG]maple(diff((x.1^3+x.2^3),x.1))=3*x.1^2@#[/MATH]
However, same procedure...
I found another localization issue. When function style is set to european, that makes trouble. I think it would be sensible if internally there was always the same representation, regardless of local settings. Then the plugin providers would not be forced to handle that on their own and could focus on the added features. However, it is as it is.
[MATH lang=ENG]maple(series(sh(x),x))[/MATH] results in "empty stack"
As for the units: for purely symbolical calculations that is not required. This is more of an issue for numeric procedures like definite integration, ode and equations solving. These work in SMath only for unit-free integration variable or unknown variable. An example for better unit handling is the NonLinearSolvers plugin. You can specify initial values or limits with units and get results with units at the price of that you have to think about the dimensions of error tolerances.
Martin KraskaPre-configured portable distribution of SMath Studio: https://en.smath.info/wiki/SMath%20with%20Plugins.ashx
#105 Posted: 5/5/2013 11:13:07 AM
#106 Posted: 5/5/2013 2:05:28 PM
Thanks again for the update. Your examples work.
I've made a scanner for the series expansion example. It is, however, not entirely equivalent to direct non-optimized maple calls. What it can show, however, is that the function style settings sometimes work with "world" and sometimes with "europe" (the latter with arcsin, arccos). Perhaps maple names are a mix of both. Anyways, the scanner is demo for the power of the maplewrapper plugin combined with animation.
Seriestest.sm (9.13 KiB) downloaded 1043 time(s).
I've made a scanner for the series expansion example. It is, however, not entirely equivalent to direct non-optimized maple calls. What it can show, however, is that the function style settings sometimes work with "world" and sometimes with "europe" (the latter with arcsin, arccos). Perhaps maple names are a mix of both. Anyways, the scanner is demo for the power of the maplewrapper plugin combined with animation.
Seriestest.sm (9.13 KiB) downloaded 1043 time(s).
Martin KraskaPre-configured portable distribution of SMath Studio: https://en.smath.info/wiki/SMath%20with%20Plugins.ashx
#108 Posted: 5/14/2013 7:47:56 PM
Hi uni,
the expand function doesn't work
expand((x+1)*(x-1));
should be x^2-1 as in maple dos
but in SMath maple it gives me (-1+x)*(1+x)
could you have a look, thank you.
the expand function doesn't work
expand((x+1)*(x-1));
should be x^2-1 as in maple dos
but in SMath maple it gives me (-1+x)*(1+x)
could you have a look, thank you.
1 users liked this post
Вячеслав Мезенцев 5/14/2013 8:03:00 PM
#109 Posted: 5/14/2013 8:02:51 PM
WroteHi uni,
the expand function doesn't work
expand((x+1)*(x-1));
should be x^2-1 as in maple dos
but in SMath maple it gives me (-1+x)*(1+x)
could you have a look, thank you.
Updated. Fixed. It seems that there is an internal function expand().
Russia ☭ forever, Viacheslav N. Mezentsev
#110 Posted: 5/24/2013 1:34:13 AM
#111 Posted: 5/24/2013 3:23:43 AM
I could not read your MaplePlot.Example-1.sm. Nothing appeared
I could get the plots by myself
. The slight inconvenience is that as soon as I choose the Insert|Maple Plot I must insert something into the plot placeholder. If I just click outside the empty plot, SMath crashes (Win7(64))
Regards,
Radovan

I could get the plots by myself
Regards,
Radovan

When Sisyphus climbed to the top of a hill, they said: "Wrong boulder!"
#112 Posted: 5/24/2013 10:43:41 AM
Hi Uni!
Thank you for the splendid MapleWrapper plugin. It is particularly useful because SMath Studio does not have yet it's own engine to symbolic calculations. Thank you once again.
However I have a small problem which I cannot dissolve. Below there are two images. First pictures is the situation before the record of the file - calculations were performed, and second one after the disk recording and the renewed opening of the file in SMath Studio. As it is visible after the renewed opening of the file calculation were not executed. Unfortunately I do not know why? I tried to reproduce this situation on many files and different calculations. Unfortunately always with the same result. Probably there is something wrong with the command "desolve"?
Heartily please all for the help in solution of this problem. From above thank you and I greet you very much.
P.S.
Maybe somebody would be able to place on the forum the example-file *.sm on how the use of commands "plot" and "plot3d" in MapleWrapper? Thank you.


Thank you for the splendid MapleWrapper plugin. It is particularly useful because SMath Studio does not have yet it's own engine to symbolic calculations. Thank you once again.
However I have a small problem which I cannot dissolve. Below there are two images. First pictures is the situation before the record of the file - calculations were performed, and second one after the disk recording and the renewed opening of the file in SMath Studio. As it is visible after the renewed opening of the file calculation were not executed. Unfortunately I do not know why? I tried to reproduce this situation on many files and different calculations. Unfortunately always with the same result. Probably there is something wrong with the command "desolve"?
Heartily please all for the help in solution of this problem. From above thank you and I greet you very much.
P.S.
Maybe somebody would be able to place on the forum the example-file *.sm on how the use of commands "plot" and "plot3d" in MapleWrapper? Thank you.
#113 Posted: 5/24/2013 1:19:06 PM
maple() seems to have problems with matrix expressions. Direct usage of SMath expressions can give wrong results. Translation using maple's matrix operations fails as well (perhaps just a problem with multiply() ).
Matrix.sm (9.1 KiB) downloaded 985 time(s).
Matrix.sm (9.1 KiB) downloaded 985 time(s).
Martin KraskaPre-configured portable distribution of SMath Studio: https://en.smath.info/wiki/SMath%20with%20Plugins.ashx
2 users liked this post
#114 Posted: 5/24/2013 1:54:33 PM
Hello,
I could reproduce this.
By the way, it seems you do not have to use maple() for the assignments - uni told me that
. See the first picture please.
I think the problem here is the two equal signs. If you recalculate page, or save the file and reopen, this will get lost. In the case of recalculation, the region will be messed up (see the second picture). If you try to select it and move it a bit - it will reappear but without the symbolical result. Just do the calculation manually again (CTRL+.).
It seems that the problem is in this particular recalculation of maple() SMath region with two equal signs.
Regards,
Radovan

WroteHi Uni!...Probably there is something wrong with the command "desolve"?
I could reproduce this.
By the way, it seems you do not have to use maple() for the assignments - uni told me that
I think the problem here is the two equal signs. If you recalculate page, or save the file and reopen, this will get lost. In the case of recalculation, the region will be messed up (see the second picture). If you try to select it and move it a bit - it will reappear but without the symbolical result. Just do the calculation manually again (CTRL+.).
It seems that the problem is in this particular recalculation of maple() SMath region with two equal signs.
Regards,
Radovan

When Sisyphus climbed to the top of a hill, they said: "Wrong boulder!"
1 users liked this post
Вячеслав Мезенцев 5/24/2013 2:47:00 PM
#115 Posted: 5/24/2013 2:30:54 PM
Hi Radovan!
Heartily thank you for your detailed explanation. I greet heartily.
Regards,
Janusz
Heartily thank you for your detailed explanation. I greet heartily.
Regards,
Janusz
#116 Posted: 5/24/2013 2:46:42 PM
Updated. Yes, Radovan rights. You must manually retrieve the desired result.

Maple. Example 1.sm (4.84 KiB) downloaded 993 time(s).

Maple. Example 1.sm (4.84 KiB) downloaded 993 time(s).
Russia ☭ forever, Viacheslav N. Mezentsev
#117 Posted: 5/24/2013 2:51:57 PM
Hello,
I do another example:

In this case after the renewed opening of the file calculation were executed. Why?
Regards,
Janusz
I do another example:
In this case after the renewed opening of the file calculation were executed. Why?
Regards,
Janusz
#118 Posted: 5/24/2013 2:59:26 PM
Hello Uni,
Thank you for new update.
Regards,
Janusz
Thank you for new update.
Regards,
Janusz
#119 Posted: 5/24/2013 3:00:29 PM
- New Posts
- No New Posts





