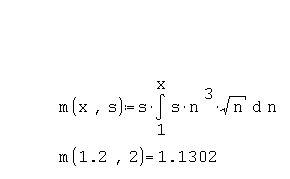
SMath Forum SMath Studio Ошибки и проблемы Вычисление интегралов 1 Pages (3 items) Вычисление интегралов - Задание предела интегрирование переменной - Messages Go to last post #1 Posted: 10/8/2012 6:42:45 AM micromega 0 likes in 2 posts. Group: User Здравствуйте, заметил одну недоработку. При задании верхнего (а может и нижнего) передела интегрирования переменной, вычисление не происходит.Наиболее красноречиво об этом расскажет скриншот. #2 Posted: 10/8/2012 7:14:04 AM уни 156 likes in 355 posts. Group: User А если так: Россия навсегда! Вячеслав Мезенцев 1 users liked this postmicromega 10/9/2012 4:27:00 AM #3 Posted: 10/9/2012 4:27:33 AM micromega 0 likes in 2 posts. Group: User Спасибо, это решает проблему. 1 Pages (3 items) New Posts No New Posts